Официальное опубликование правовых актов
ОФИЦИАЛЬНОЕ ОПУБЛИКОВАНИЕ
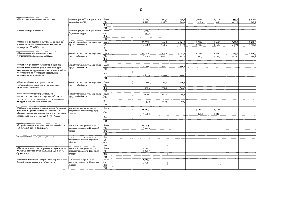
Постановление Правительства Иркутской области от 13.11.2017 № 731-пп
"О внесении изменений в государственную программу Иркутской области "Развитие культуры" на 2014 - 2020 годы"
Номер опубликования: 3800201711150011
Дата опубликования: 15.11.2017
Страница №38 из 51:
Увеличить