Официальное опубликование правовых актов
ОФИЦИАЛЬНОЕ ОПУБЛИКОВАНИЕ
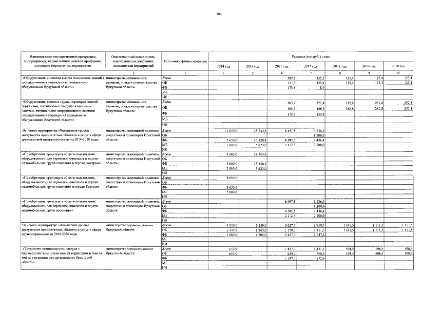
Постановление Правительства Иркутской области от 08.11.2017 № 714-пп
"О внесении изменений в государственную программу Иркутской области "Социальная поддержка населения" на 2014 - 2020 годы"
Номер опубликования: 3800201711150010
Дата опубликования: 15.11.2017
Страница №141 из 153:
Увеличить