Официальное опубликование правовых актов
ОФИЦИАЛЬНОЕ ОПУБЛИКОВАНИЕ
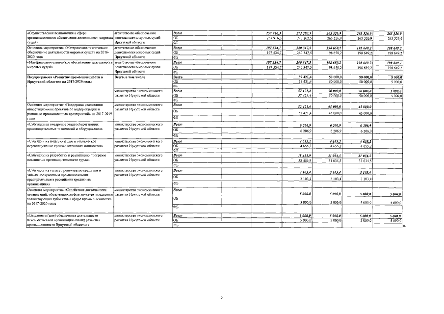
Постановление Правительства Иркутской области от 09.11.2017 № 720-пп
"О внесении изменений в государственную программу Иркутской области "Экономическое развитие и инновационная экономика" на 2015 - 2020 годы"
Номер опубликования: 3800201711150008
Дата опубликования: 15.11.2017
Страница №51 из 74:
Увеличить