Официальное опубликование правовых актов
ОФИЦИАЛЬНОЕ ОПУБЛИКОВАНИЕ
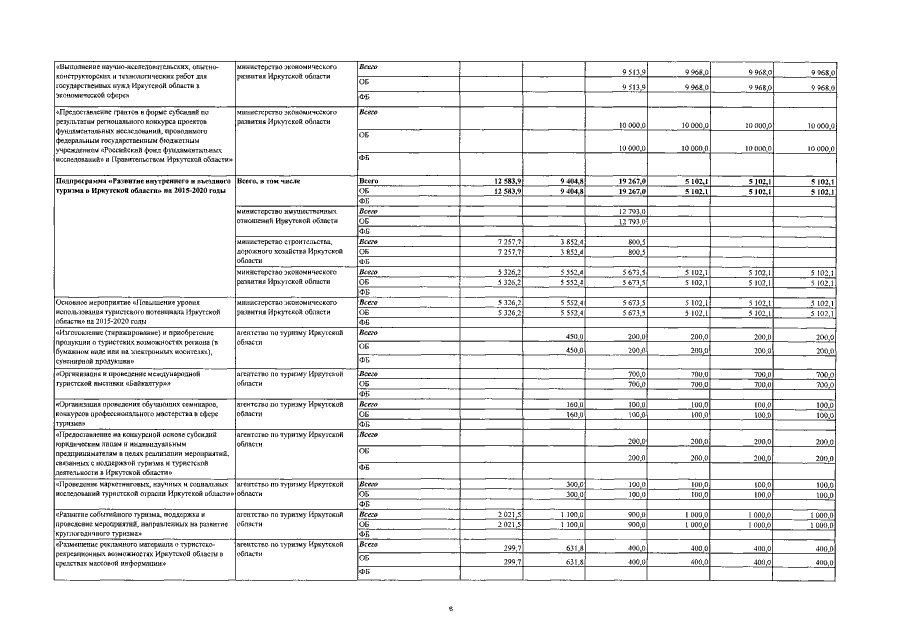
Постановление Правительства Иркутской области от 09.11.2017 № 717-пп
"О внесении изменений в государственную программу Иркутской области "Экономическое развитие и инновационная экономика" на 2015 - 2020 годы"
Номер опубликования: 3800201711140007
Дата опубликования: 14.11.2017
Страница №54 из 92:
Увеличить