Официальное опубликование правовых актов
ОФИЦИАЛЬНОЕ ОПУБЛИКОВАНИЕ
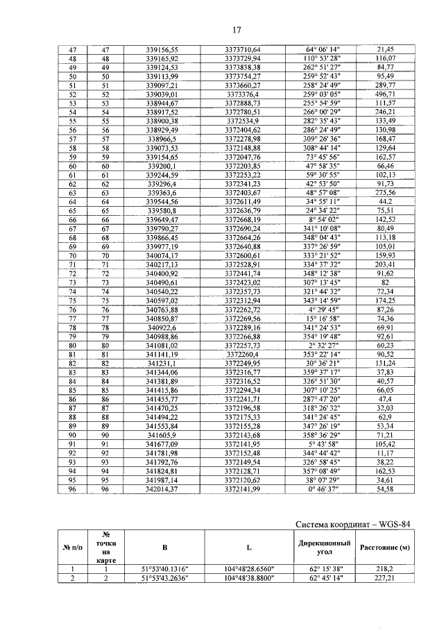
Постановление Правительства Иркутской области от 20.10.2017 № 681-пп
"О памятнике природы регионального значения "Исток реки Ангары"
Номер опубликования: 3800201710270001
Дата опубликования: 27.10.2017
Страница №18 из 21:
Увеличить