Официальное опубликование правовых актов
ОФИЦИАЛЬНОЕ ОПУБЛИКОВАНИЕ
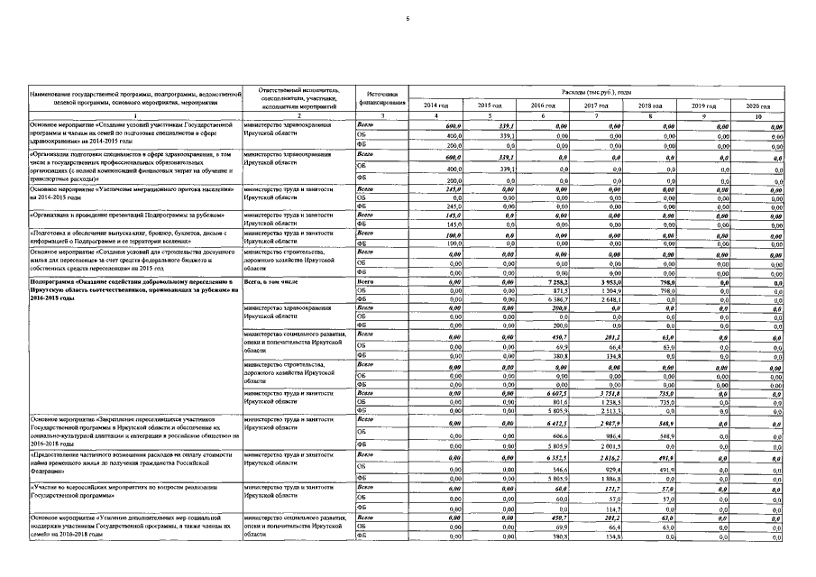
Постановление Правительства Иркутской области от 03.10.2017 № 632-пп
"О внесении изменений в государственную программу Иркутской области "Труд и занятость" на 2014 - 2020 годы"
Номер опубликования: 3800201710060005
Дата опубликования: 06.10.2017
Страница №7 из 20:
Увеличить