Официальное опубликование правовых актов
ОФИЦИАЛЬНОЕ ОПУБЛИКОВАНИЕ
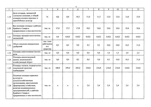
Постановление Правительства Иркутской области от 09.08.2017 № 533-пп
"О внесении изменений в государственную программу Иркутской области "Развитие сельского хозяйства и регулирование рынков сельскохозяйственной продукции, сырья и продовольствия" на 2014 – 2020 годы"
Номер опубликования: 3800201708160002
Дата опубликования: 16.08.2017
Страница №67 из 182:
Увеличить