Официальное опубликование правовых актов
ОФИЦИАЛЬНОЕ ОПУБЛИКОВАНИЕ
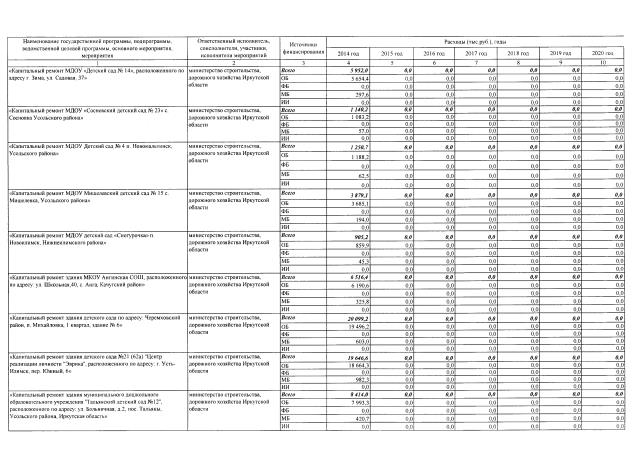
Постановление Правительства Иркутской области от 04.08.2017 № 532-пп
"О внесении изменений в отдельные нормативные правовые акты Правительства Иркутской области"
Номер опубликования: 3800201708110001
Дата опубликования: 11.08.2017
Страница №69 из 87:
Увеличить