Официальное опубликование правовых актов
ОФИЦИАЛЬНОЕ ОПУБЛИКОВАНИЕ
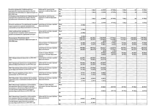
Постановление Правительства Иркутской области от 04.08.2017 № 526-пп
"О внесении изменений в государственную программу Иркутской области "Развитие культуры" на 2014- 2020 годы"
Номер опубликования: 3800201708100005
Дата опубликования: 10.08.2017
Страница №15 из 33:
Увеличить