Официальное опубликование правовых актов
ОФИЦИАЛЬНОЕ ОПУБЛИКОВАНИЕ
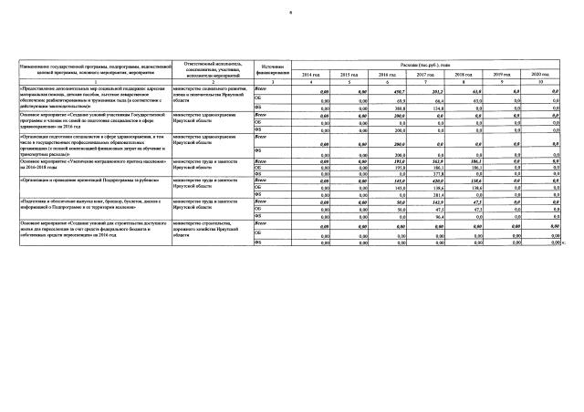
Постановление Правительства Иркутской области от 03.08.2017 № 510-пп
"О внесении изменений в государственную программу Иркутской области "Труд и занятость" на 2014 - 2020 годы"
Номер опубликования: 3800201708040013
Дата опубликования: 04.08.2017
Страница №53 из 65:
Увеличить