Официальное опубликование правовых актов
ОФИЦИАЛЬНОЕ ОПУБЛИКОВАНИЕ
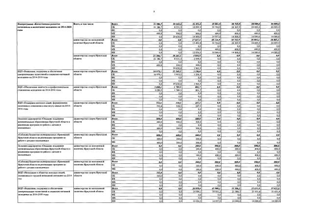
Постановление Правительства Иркутской области от 20.07.2017 № 470-пп
"О внесении изменений в государственную программу Иркутской области "Молодежная политика" на 2014-2020 годы"
Номер опубликования: 3800201707210003
Дата опубликования: 21.07.2017
Страница №41 из 52:
Увеличить