Официальное опубликование правовых актов
ОФИЦИАЛЬНОЕ ОПУБЛИКОВАНИЕ
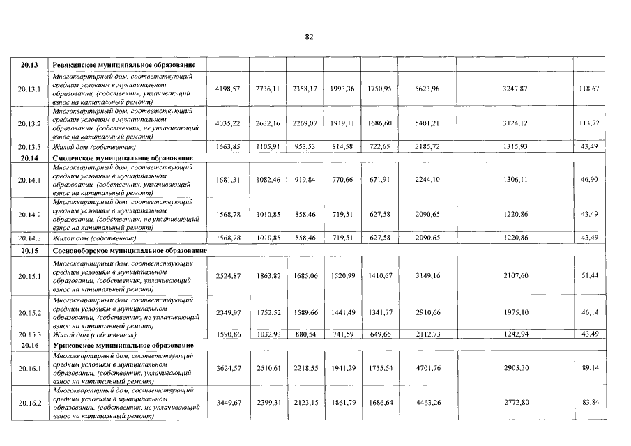
Постановление Правительства Иркутской области от 12.07.2017 № 454-пп
"О размерах регионального стандарта стоимости жилищно-коммунальных услуг, дифференцированной по муниципальным образованиям Иркутской области, на 2017 год"
Номер опубликования: 3800201707170004
Дата опубликования: 17.07.2017
Страница №83 из 124:
Увеличить