Официальное опубликование правовых актов
ОФИЦИАЛЬНОЕ ОПУБЛИКОВАНИЕ
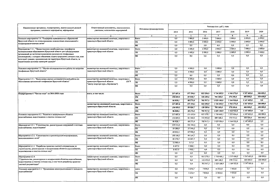
Постановление Правительства Иркутской области от 19.06.2017 № 408-пп
"О внесении изменений в государственную программу Иркутской области "Развитие жилищно-коммунального хозяйства Иркутской области" на 2014 - 2020 годы"
Номер опубликования: 3800201706230009
Дата опубликования: 23.06.2017
Страница №16 из 30:
Увеличить