Официальное опубликование правовых актов
ОФИЦИАЛЬНОЕ ОПУБЛИКОВАНИЕ
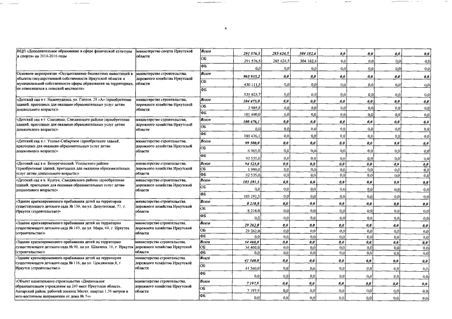
Постановление Правительства Иркутской области от 21.04.2017 № 267-пп
"О внесении изменений в государственную программу Иркутской области "Развитие образования" на 2014 – 2020 годы"
Номер опубликования: 3800201704240003
Дата опубликования: 24.04.2017
Страница №31 из 59:
Увеличить