Официальное опубликование правовых актов
ОФИЦИАЛЬНОЕ ОПУБЛИКОВАНИЕ
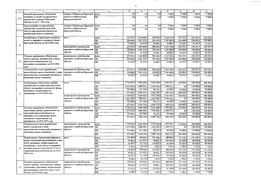
Постановление Правительства Иркутской области от 10.04.2017 № 226-пп
"О внесении изменений в государственную программу Иркутской области "Доступное жилье" на 2014-2020 годы"
Номер опубликования: 3800201704130010
Дата опубликования: 13.04.2017
Страница №46 из 51:
Увеличить