Официальное опубликование правовых актов
ОФИЦИАЛЬНОЕ ОПУБЛИКОВАНИЕ
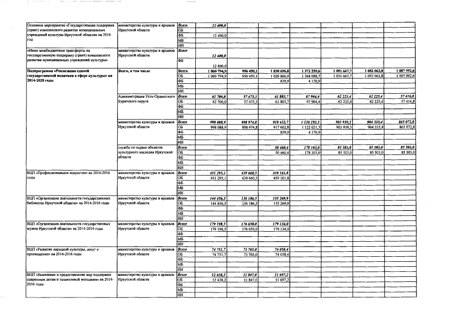
Постановление Правительства Иркутской области от 20.03.2017 № 171-пп
"О внесении изменений в отдельные постановления Правительства Иркутской области"
Номер опубликования: 3800201703280004
Дата опубликования: 28.03.2017
Страница №46 из 59:
Увеличить