Официальное опубликование правовых актов
ОФИЦИАЛЬНОЕ ОПУБЛИКОВАНИЕ
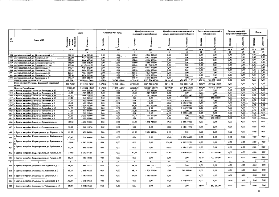
Постановление Правительства Иркутской области от 24.03.2017 № 184-пп
"О внесении изменения в региональную адресную программу Иркутской области "Переселение граждан, проживающих на территории Иркутской области, из аварийного жилищного фонда, признанного непригодным для проживания, в 2013 - 2017 годах"
Номер опубликования: 3800201703280001
Дата опубликования: 28.03.2017
Страница №74 из 97:
Увеличить