Официальное опубликование правовых актов
ОФИЦИАЛЬНОЕ ОПУБЛИКОВАНИЕ
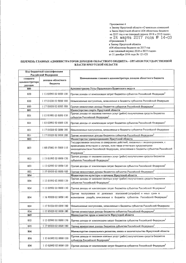
Закон Иркутской области от 24.03.2017 № 14-ОЗ
"О внесении изменений в Закон Иркутской области "Об областном бюджете на 2017 год и на плановый период 2018 и 2019 годов"
Номер опубликования: 3800201703240016
Дата опубликования: 24.03.2017
Страница №30 из 479:
Увеличить