Официальное опубликование правовых актов
ОФИЦИАЛЬНОЕ ОПУБЛИКОВАНИЕ
Постановление Правительства Иркутской области от 21.03.2017 № 173-пп
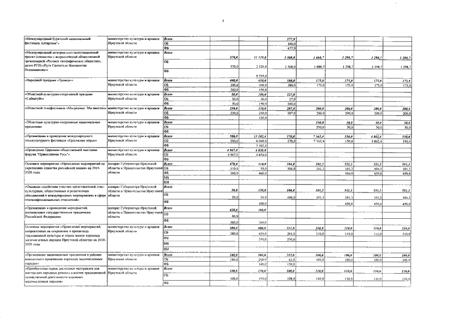
"О внесении изменений в государственную программу Иркутской области "Укрепление единства российской нации и этнокультурное развитие народов Иркутской области" на 2014-2020 годы"
Номер опубликования: 3800201703240008
Дата опубликования: 24.03.2017
Страница №35 из 43:
Увеличить