Официальное опубликование правовых актов
ОФИЦИАЛЬНОЕ ОПУБЛИКОВАНИЕ
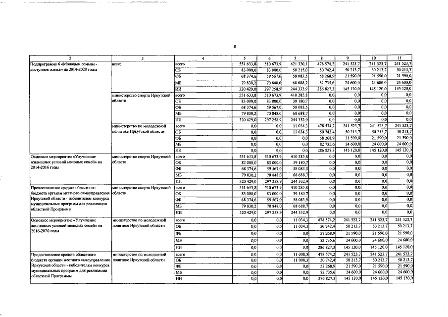
Постановление Правительства Иркутской области от 17.03.2017 № 164-пп
"О внесении изменений в государственную программу Иркутской области "Доступное жилье" на 2014-2020 годы"
Номер опубликования: 3800201703220014
Дата опубликования: 22.03.2017
Страница №69 из 74:
Увеличить