Официальное опубликование правовых актов
ОФИЦИАЛЬНОЕ ОПУБЛИКОВАНИЕ
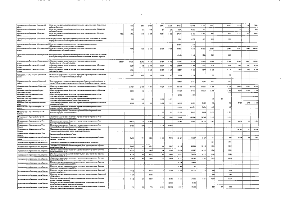
Постановление Правительства Иркутской области от 20.03.2017 № 169-пп
"О внесении изменений в Территориальную программу государственных гарантий бесплатного оказания гражданам медицинской помощи в Иркутской области на 2017 год и на плановый период 2018 и 2019 годов"
Номер опубликования: 3800201703220006
Дата опубликования: 22.03.2017
Страница №6 из 8:
Увеличить