Официальное опубликование правовых актов
ОФИЦИАЛЬНОЕ ОПУБЛИКОВАНИЕ
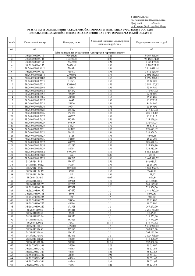
Постановление Правительства Иркутской области от 15.03.2017 № 159-пп
"О результатах определения кадастровой стоимости земельных участков в составе земель сельскохозяйственного назначения на территории Иркутской области"
Номер опубликования: 3800201703170002
Дата опубликования: 17.03.2017
Страница №3 из 2546:
Увеличить