Официальное опубликование правовых актов
ОФИЦИАЛЬНОЕ ОПУБЛИКОВАНИЕ
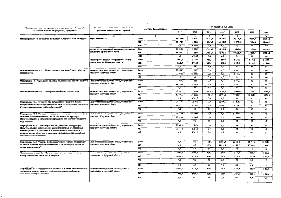
Постановление Правительства Иркутской области от 15.03.2017 № 160-пп
"О внесении изменений в государственную программу Иркутской области "Развитие жилищно-коммунального хозяйства Иркутской области" на 2014 - 2020 годы"
Номер опубликования: 3800201703170001
Дата опубликования: 17.03.2017
Страница №58 из 73:
Увеличить