Официальное опубликование правовых актов
ОФИЦИАЛЬНОЕ ОПУБЛИКОВАНИЕ
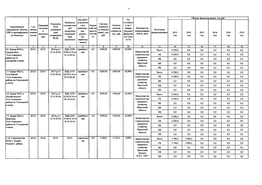
Постановление Правительства Иркутской области от 13.03.2017 № 140-пп
"О внесении изменений в государственную программу Иркутской области "Развитие сельского хозяйства и регулирование рынков сельскохозяйственной продукции, сырья и продовольствия" на 2014 – 2020 годы"
Номер опубликования: 3800201703150003
Дата опубликования: 15.03.2017
Страница №58 из 211:
Увеличить