Официальное опубликование правовых актов
ОФИЦИАЛЬНОЕ ОПУБЛИКОВАНИЕ
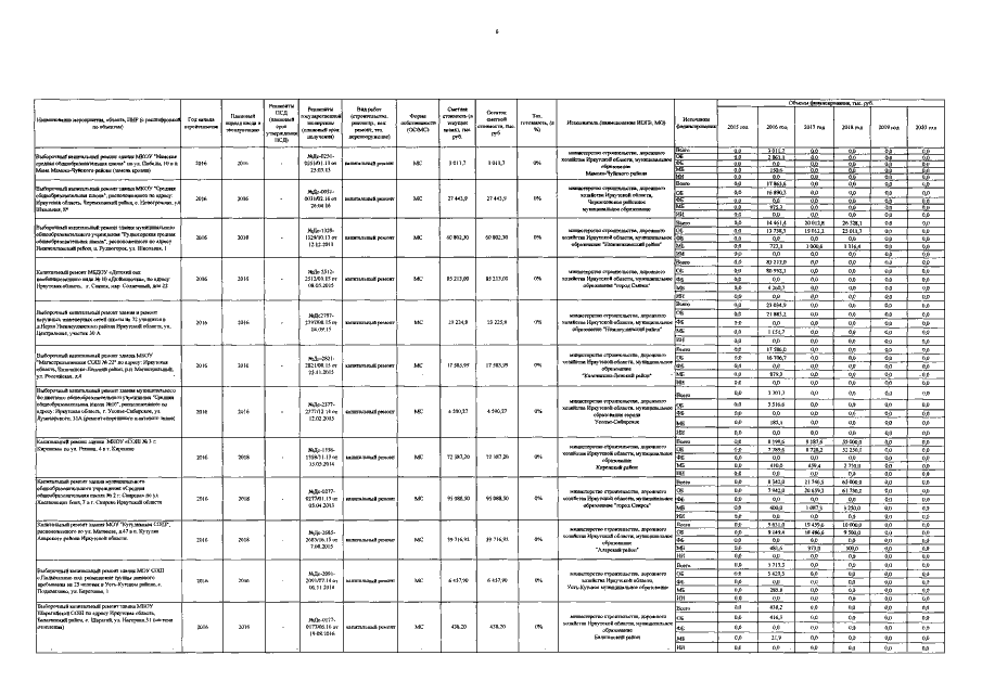
Постановление Правительства Иркутской области от 06.03.2017 № 132-пп
"О внесении изменений в отдельные постановления Правительства Иркутской области"
Номер опубликования: 3800201703100011
Дата опубликования: 10.03.2017
Страница №11 из 89:
Увеличить