Официальное опубликование правовых актов
ОФИЦИАЛЬНОЕ ОПУБЛИКОВАНИЕ
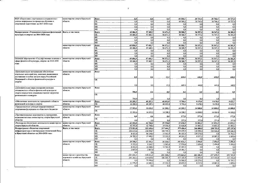
Постановление Правительства Иркутской области от 03.03.2017 № 130-пп
"О внесении изменений в отдельные нормативные правовые акты Правительства Иркутской области"
Номер опубликования: 3800201703060019
Дата опубликования: 06.03.2017
Страница №29 из 39:
Увеличить