Официальное опубликование правовых актов
ОФИЦИАЛЬНОЕ ОПУБЛИКОВАНИЕ
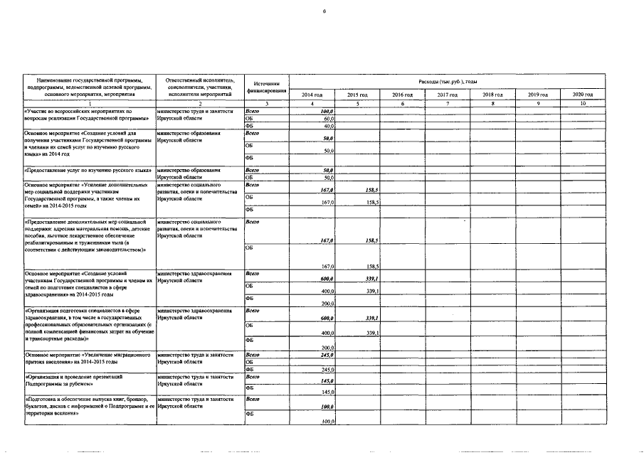
Постановление Правительства Иркутской области от 28.02.2017 № 113-пп
"О внесении изменений в государственную программу Иркутской области "Труд и занятость" на 2014-2020 годы"
Номер опубликования: 3800201703060017
Дата опубликования: 06.03.2017
Страница №35 из 46:
Увеличить