Официальное опубликование правовых актов
ОФИЦИАЛЬНОЕ ОПУБЛИКОВАНИЕ
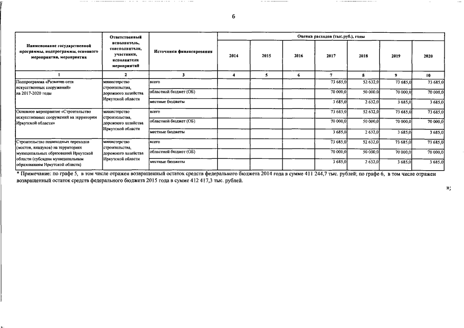
Постановление Правительства Иркутской области от 02.02.2017 № 61-пп
"О внесении изменений в государственную программу Иркутской области "Развитие дорожного хозяйства и сети искусственных сооружений" на 2014 - 2020 годы"
Номер опубликования: 3800201702090010
Дата опубликования: 09.02.2017
Страница №26 из 37:
Увеличить