Официальное опубликование правовых актов
ОФИЦИАЛЬНОЕ ОПУБЛИКОВАНИЕ
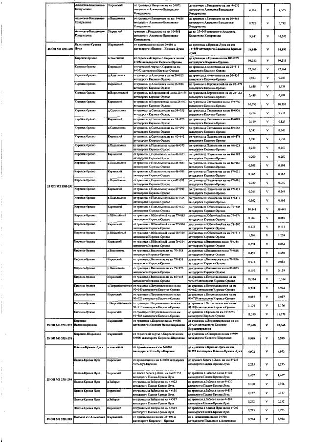
Постановление Правительства Иркутской области от 02.02.2017 № 60-пп
"О внесении изменения в Перечень автомобильных дорог общего пользования регионального или межмуниципального значения Иркутской области"
Номер опубликования: 3800201702060001
Дата опубликования: 06.02.2017
Страница №25 из 51:
Увеличить