Официальное опубликование правовых актов
ОФИЦИАЛЬНОЕ ОПУБЛИКОВАНИЕ
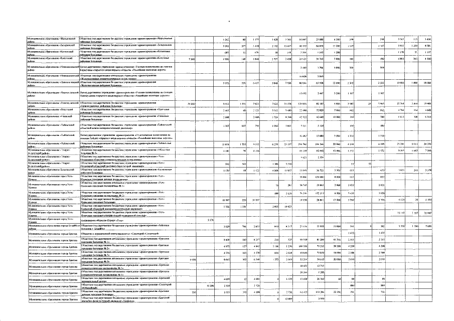
Постановление Правительства Иркутской области от 30.12.2016 № 849-пп
"О внесении изменений в Территориальную программу государственных гарантий бесплатного оказания гражданам медицинской помощи в Иркутской области на 2016 год"
Номер опубликования: 3800201612300003
Дата опубликования: 30.12.2016
Страница №6 из 11:
Увеличить