Официальное опубликование правовых актов
ОФИЦИАЛЬНОЕ ОПУБЛИКОВАНИЕ
Постановление Правительства Иркутской области от 29.12.2016 № 848-пп
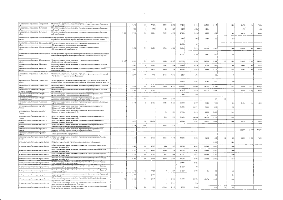
"О Территориальной программе государственных гарантий бесплатного оказания гражданам медицинской помощи в Иркутской области на 2017 год и на плановый период 2018 и 2019 годов"
Номер опубликования: 3800201612290005
Дата опубликования: 29.12.2016
Страница №259 из 311:
Увеличить