Официальное опубликование правовых актов
ОФИЦИАЛЬНОЕ ОПУБЛИКОВАНИЕ
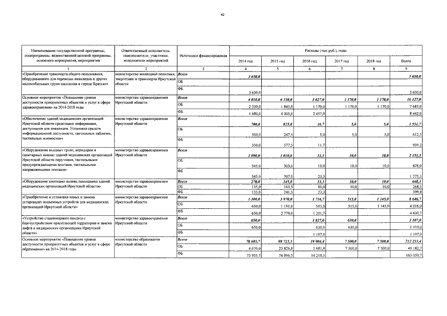
Постановление Правительства Иркутской области от 21.12.2016 № 820-пп
"О внесении изменений в государственную программу Иркутской области "Социальная поддержка населения" на 2014 - 2018 годы"
Номер опубликования: 3800201612260018
Дата опубликования: 26.12.2016
Страница №53 из 124:
Увеличить