Официальное опубликование правовых актов
ОФИЦИАЛЬНОЕ ОПУБЛИКОВАНИЕ
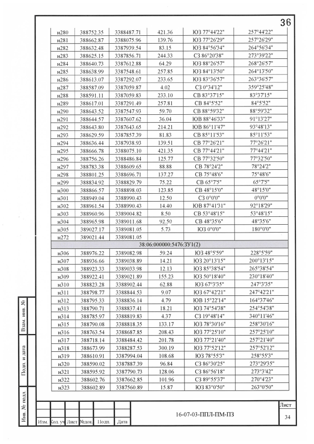
Постановление Правительства Иркутской области от 13.12.2016 № 783-пп
"Об утверждении проекта планировки территории и проекта межевания территории, предназначенной для размещения линейного объекта регионального значения "Реконструкция и повышение категорийности автомобильной дороги "Иркутск – Большое Голоустное" со строительством обходов населенных пунктов п. Дзержинск, с. Пивовариха, д. Худякова, з. Поливаниха, п. Добролет" (Реконструкция автомобильной дороги Иркутск - Большое Голоустное на участке км 46+700- км 70+000 в Иркутском районе Иркутской области)"
Номер опубликования: 3800201612160021
Дата опубликования: 16.12.2016
Страница №86 из 147:
Увеличить