Официальное опубликование правовых актов
ОФИЦИАЛЬНОЕ ОПУБЛИКОВАНИЕ
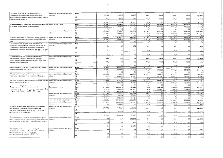
Постановление Правительства Иркутской области от 13.12.2016 № 782-пп
"О внесении изменений в отдельные нормативные правовые акты Правительства Иркутской области"
Номер опубликования: 3800201612160014
Дата опубликования: 16.12.2016
Страница №8 из 18:
Увеличить