Официальное опубликование правовых актов
ОФИЦИАЛЬНОЕ ОПУБЛИКОВАНИЕ
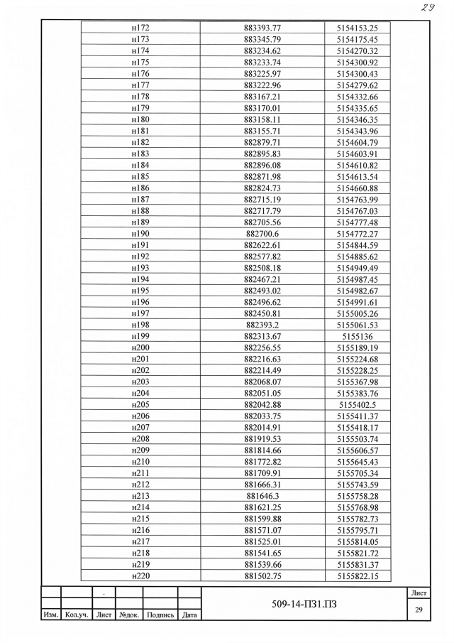
Постановление Правительства Иркутской области от 13.12.2016 № 786-пп
"Об утверждении проекта планировки территории и проекта межевания территории, предназначенной для размещения линейного объекта регионального значения "Строительство автомобильной дороги Киренск–Казачинское на участке км 65+500 – км 104+634 в Казачинско – Ленском районе Иркутской области"
Номер опубликования: 3800201612160009
Дата опубликования: 16.12.2016
Страница №30 из 216:
Увеличить