Официальное опубликование правовых актов
ОФИЦИАЛЬНОЕ ОПУБЛИКОВАНИЕ
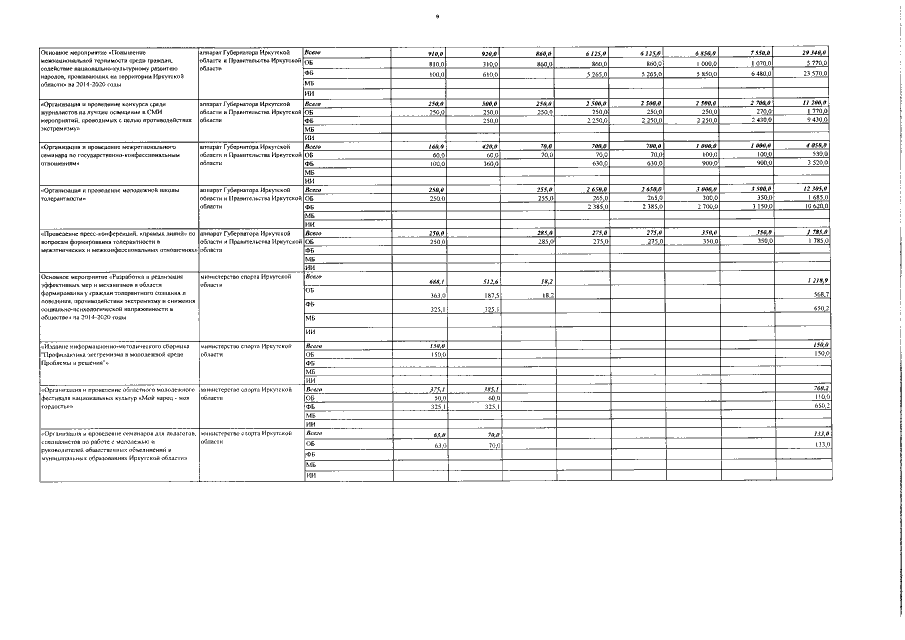
Постановление Правительства Иркутской области от 14.12.2016 № 793-пп
"О внесении изменений в государственную программу Иркутской области "Укрепление единства российской нации и этнокультурное развитие народов Иркутской области" на 2014 – 2020 годы"
Номер опубликования: 3800201612160004
Дата опубликования: 16.12.2016
Страница №24 из 27:
Увеличить