Официальное опубликование правовых актов
ОФИЦИАЛЬНОЕ ОПУБЛИКОВАНИЕ
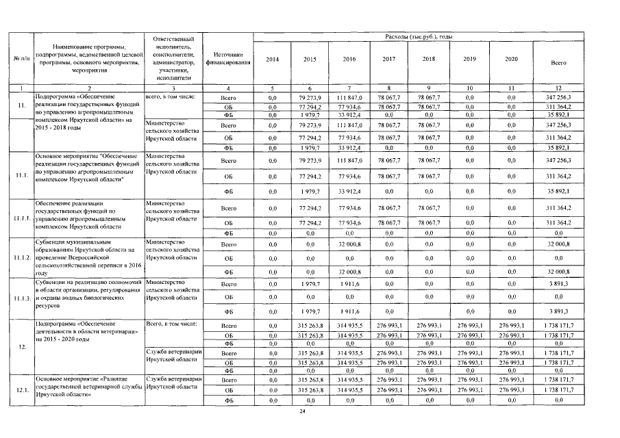
Постановление Правительства Иркутской области от 08.12.2016 № 776-пп
"О внесении изменений в государственную программу Иркутской области "Развитие сельского хозяйства и регулирование рынков сельскохозяйственной продукции, сырья и продовольствия" на 2014–2020 годы"
Номер опубликования: 3800201612140001
Дата опубликования: 14.12.2016
Страница №103 из 140:
Увеличить