Официальное опубликование правовых актов
ОФИЦИАЛЬНОЕ ОПУБЛИКОВАНИЕ
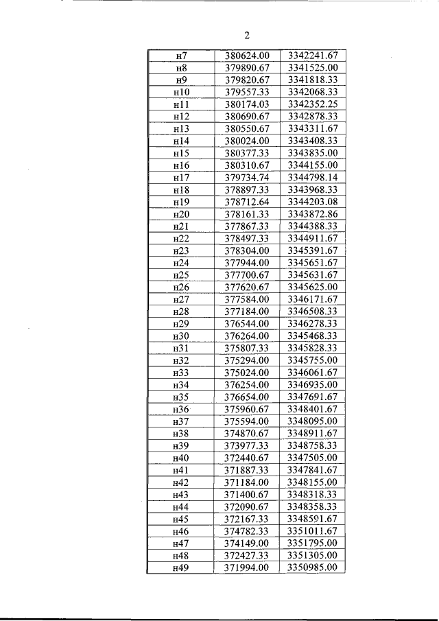
Постановление Правительства Иркутской области от 07.11.2016 № 710-пп
"О внесении изменения в границы зон санитарной охраны источника водоснабжения г. Иркутска (Ершовский водозабор)"
Номер опубликования: 3800201611140005
Дата опубликования: 14.11.2016
Страница №2 из 5:
Увеличить