Официальное опубликование правовых актов
ОФИЦИАЛЬНОЕ ОПУБЛИКОВАНИЕ
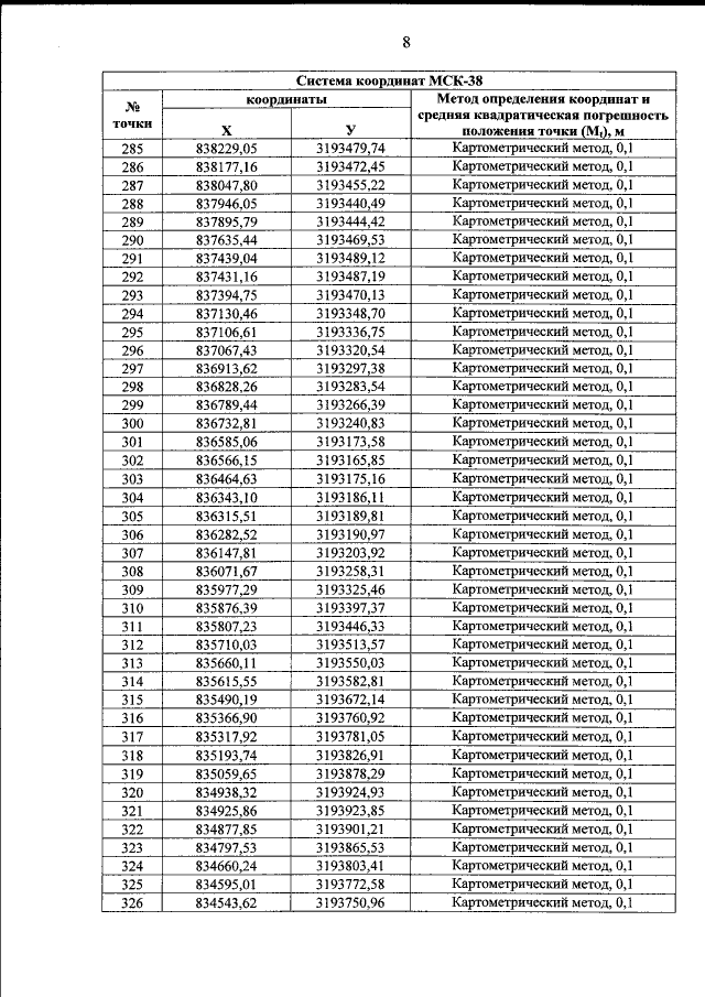
Постановление Правительства Иркутской области от 17.10.2016 № 664-пп
"Об утверждении границ охранных зон газораспределительных сетей"
Номер опубликования: 3800201610190001
Дата опубликования: 19.10.2016
Страница №27 из 45:
Увеличить