Официальное опубликование правовых актов
ОФИЦИАЛЬНОЕ ОПУБЛИКОВАНИЕ
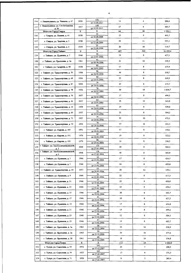
Постановление Правительства Иркутской области от 10.10.2016 № 656-пп
"О внесении изменений в государственную программу Иркутской области "Доступное жилье" на 2014-2020 годы"
Номер опубликования: 3800201610130003
Дата опубликования: 13.10.2016
Страница №13 из 54:
Увеличить