Официальное опубликование правовых актов
ОФИЦИАЛЬНОЕ ОПУБЛИКОВАНИЕ
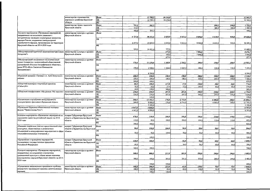
Постановление Правительства Иркутской области от 05.10.2016 № 651-пп
"О внесении изменений в государственную программу Иркутской области "Укрепление единства российской нации и этнокультурное развитие народов Иркутской области" на 2014-2020 годы"
Номер опубликования: 3800201610100003
Дата опубликования: 10.10.2016
Страница №21 из 38:
Увеличить