Официальное опубликование правовых актов
ОФИЦИАЛЬНОЕ ОПУБЛИКОВАНИЕ
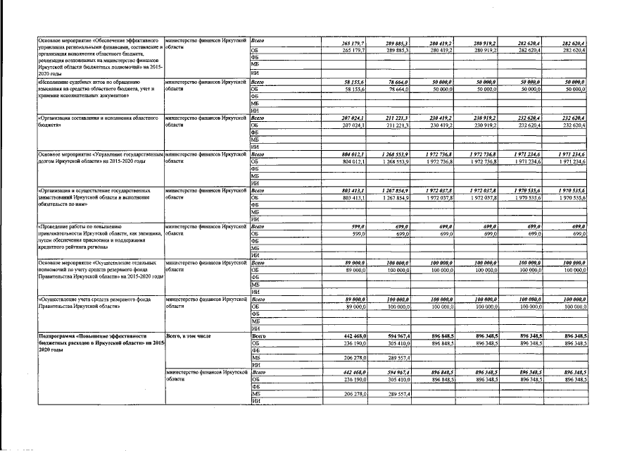
Постановление Правительства Иркутской области от 30.09.2016 № 626-пп
"О внесении изменений в государственную программу Иркутской области "Управление государственными финансами Иркутской области" на 2015 – 2020 годы"
Номер опубликования: 3800201610050014
Дата опубликования: 05.10.2016
Страница №12 из 16:
Увеличить