Официальное опубликование правовых актов
ОФИЦИАЛЬНОЕ ОПУБЛИКОВАНИЕ
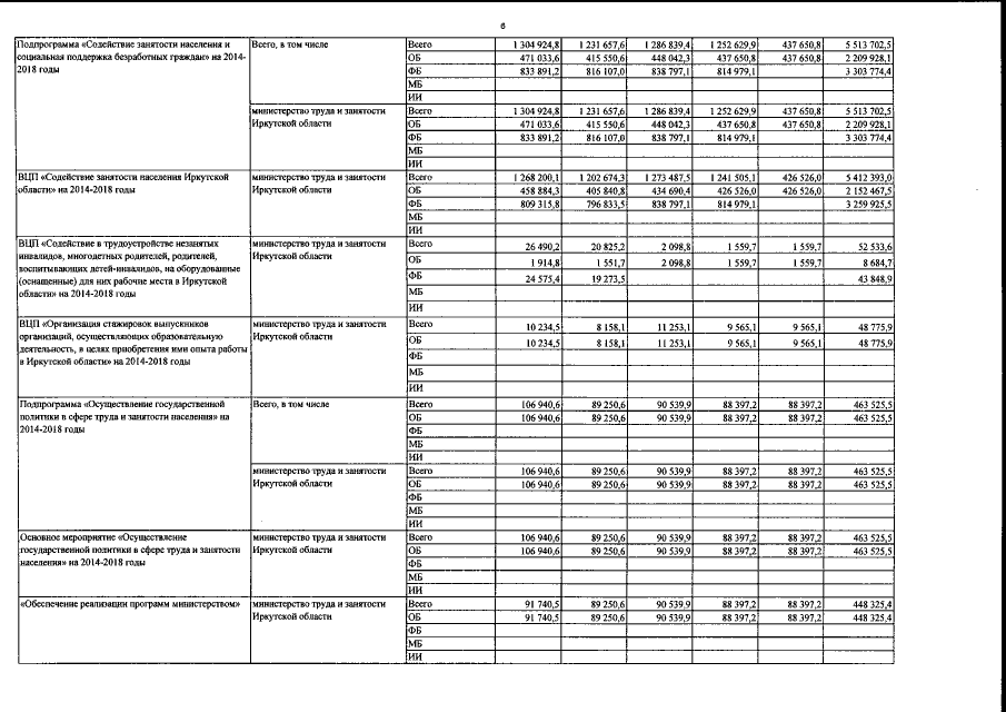
Постановление Правительства Иркутской области от 27.09.2016 № 617-пп
"О внесении изменений в государственную программу Иркутской области "Труд и занятость" на 2014-2018 годы"
Номер опубликования: 3800201610030014
Дата опубликования: 03.10.2016
Страница №20 из 25:
Увеличить