Официальное опубликование правовых актов
ОФИЦИАЛЬНОЕ ОПУБЛИКОВАНИЕ
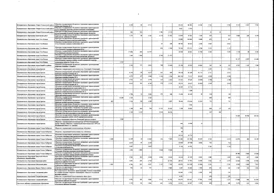
Постановление Правительства Иркутской области от 27.09.2016 № 618-пп
"О внесении изменений в Территориальную программу государственных гарантий бесплатного оказания гражданам медицинской помощи в Иркутской области на 2016 год"
Номер опубликования: 3800201610030010
Дата опубликования: 03.10.2016
Страница №6 из 11:
Увеличить