Официальное опубликование правовых актов
ОФИЦИАЛЬНОЕ ОПУБЛИКОВАНИЕ
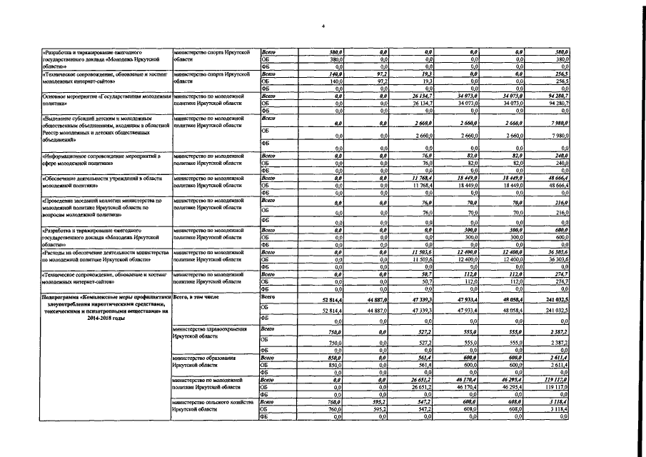
Постановление Правительства Иркутской области от 27.09.2016 № 616-пп
"О внесении изменений в государственную программу Иркутской области "Молодежная политика" на 2014 - 2018 годы"
Номер опубликования: 3800201610030009
Дата опубликования: 03.10.2016
Страница №7 из 31:
Увеличить