Официальное опубликование правовых актов
ОФИЦИАЛЬНОЕ ОПУБЛИКОВАНИЕ
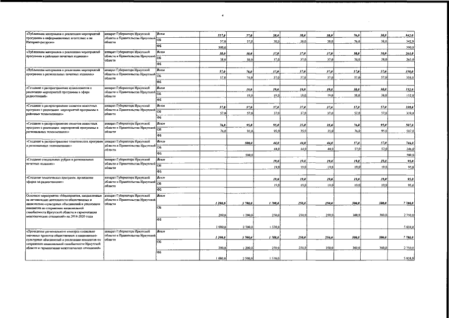
Постановление Правительства Иркутской области от 20.09.2016 № 591-пп
"О внесении изменений в государственную программу Иркутской области "Укрепление единства российской нации и этнокультурное развитие народов Иркутской области" на 2014-2020 годы"
Номер опубликования: 3800201609230002
Дата опубликования: 23.09.2016
Страница №7 из 33:
Увеличить