Официальное опубликование правовых актов
ОФИЦИАЛЬНОЕ ОПУБЛИКОВАНИЕ
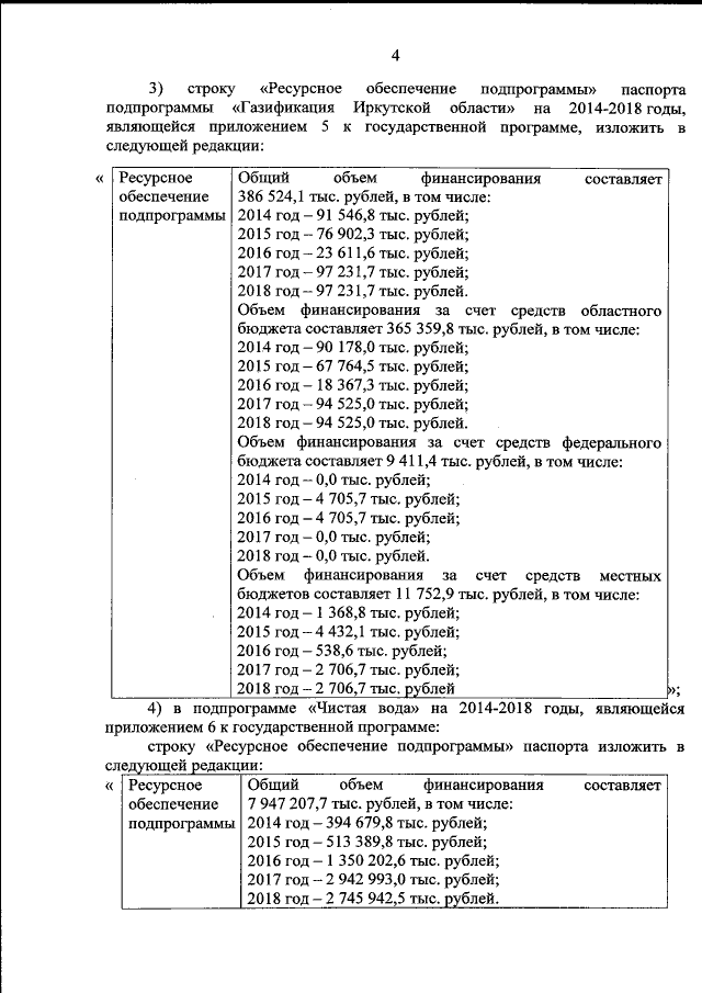
Постановление Правительства Иркутской области от 20.09.2016 № 592-пп
"О внесении изменений в отдельные постановления Правительства Иркутской области"
Номер опубликования: 3800201609230001
Дата опубликования: 23.09.2016
Страница №4 из 71:
Увеличить