Официальное опубликование правовых актов
ОФИЦИАЛЬНОЕ ОПУБЛИКОВАНИЕ
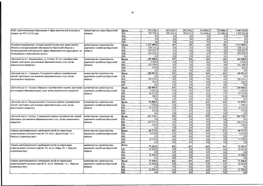
Постановление Правительства Иркутской области от 15.09.2016 № 578-пп
"О внесении изменений в государственную программу Иркутской области "Развитие образования" на 2014 – 2018 годы"
Номер опубликования: 3800201609190017
Дата опубликования: 19.09.2016
Страница №30 из 42:
Увеличить