Официальное опубликование правовых актов
ОФИЦИАЛЬНОЕ ОПУБЛИКОВАНИЕ
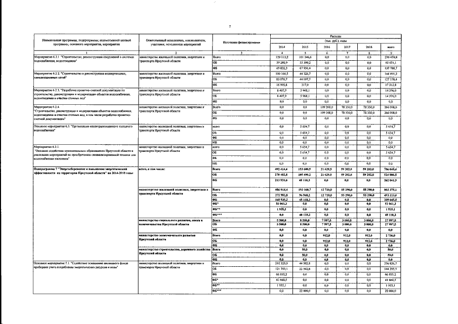
Постановление Правительства Иркутской области от 03.08.2016 № 469-пп
"О внесении изменений в отдельные постановления Правительства Иркутской области"
Номер опубликования: 3800201608050002
Дата опубликования: 05.08.2016
Страница №21 из 37:
Увеличить