Официальное опубликование правовых актов
ОФИЦИАЛЬНОЕ ОПУБЛИКОВАНИЕ
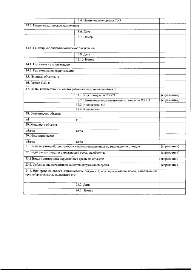
Постановление Правительства Иркутской области от 21.06.2016 № 386-пп
"О внесении изменений в Положение о порядке ведения регионального кадастра отходов производства и потребления"
Номер опубликования: 3800201606240016
Дата опубликования: 24.06.2016
Страница №7 из 13:
Увеличить